header

 Newton's 2nd Law


Newton’s Laws of Motion create the framework to approach a lot of physics concepts within. Newton’s Laws of Motion are:

1st Law: An object in motion will remain in motion, and an object at rest will remain at rest, unless another force counteracts it.

2nd Law: Force= mass*acceleration. The greater the mass, the more force needed to accelerate it. 

3rd Law: Every action has an equal and opposite reaction. 

Newton’s 2nd Law is especially useful when analyzing an object in a dynamic situation. If you can identify all the forces acting upon an object, then you can easily solve for the quantities of unknown variables.

To help identify forces acting on an object, a force diagram can be used. A force diagram shows all the forces acting on an object, including the magnitude of the force and the direction. To illustrate, here I will use a move called the splits.


[video from N. Gyswyt]


ngimage8
[photo from N. Gyswyt]

Here is the same picture, but now converted into a force diagram.

ngimage10
[image from N. Gyswyt]

This representation can still be difficult to understand, especially if a more complex situation is modeled with more forces present. The example I am using is more straightforward, however. A free-body diagram is the next tool that can be used to model a dynamic situation. In a free-body diagram, the object of interest is represented very simply, often with a dot or a box. Then the forces are drawn onto the object with their respective magnitudes and directions. A quantity that has both magnitude and direction is referred to as a vector. Here is the free-body diagram for this example. (I represented my body as rigid object following the lines of my legs for simplicity, and am negating any force my hands play, as that is simply for balance, I am not supporting a significant amount of my weight with my hands).

ngimage11

[image from N. Gyswyt]


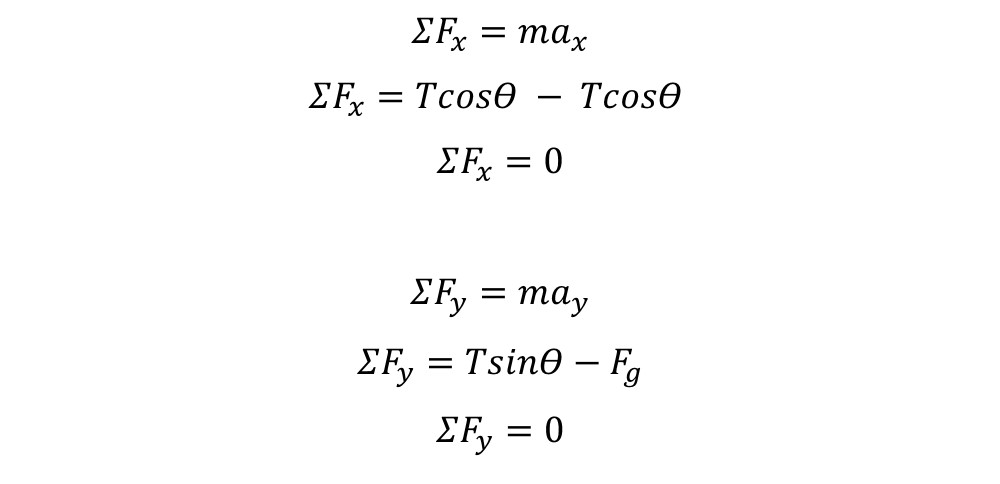
The forces that are acting on the object of interest are the forces of gravity and tension. There are two separate force tensions, but here they are equal and opposite. To solve for the net force acting on an object, it is easy to simply sum all the forces in the x direction and all the forces in the y direction. To do this, we can break down the force tension vectors into x and y components.

ngimage9

As there is no acceleration in this situation, my body is not moving in any direction, the net force is equal to zero. Force gravity and force tension are still present, but they are balancing each other out. If one of the forces was greater, then I would move in the direction it was applied in. For example, If I was suspended from a crane instead of the ceiling, and the crane winched up, force tension would become greater than force gravity and I would move in the upwards direction. I can easily solve for the magnitude of force tension from these equations though, as long as I know my mass and the angle of the force vectors.



Homepage
Newton's 2nd Law
Friction
Conservation of Energy
Rotation
Resources