Electromagnetism


            As defined by Merriam-Webster, electromagnetism is “a magnetic field that is produced by a current of electricity.”1  This definition is a little narrow for our discussion.  Thus we must develop a more complete definition of electromagnetism, the theory of electromagnetism.

In our discussion of electricity and magnetism, we have actually discussed all the ingredients for a complete theory of electromagnetism.  We just need to unify the two.  We want to reiterate four facts:  an electric field can be created by charged particles; an electric field can be created by a changing magnetic field; a magnetic field can be created from a current; a magnetic field can be created by a changing electric field.2  Note that one field is created by the other changing.  By this we can see electricity and magnetism are intimately related.  Now, what we want is a self-sustaining field. 

James Maxwell was ready to unify electricity and magnetism.  “Maxwell was able to predict that electric and magnetic fields would be able to sustain themselves, free from charges and currents, if they took the form of an electromagnetic wave.”3  These waves are a unification of the electric field and the magnetic field.  The electric and magnetic field travel perpendicular to one another.  They are also a transverse wave which means they are perpendicular to the direction they travel in.4  Maxwell combined the discoveries of the electric and magnetic field to create his theory of electromagnetism.

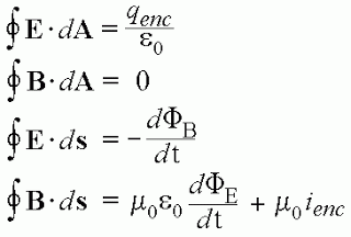
Maxwell’s theory of electromagnetism uses four equations to describe the.  When we add the Lorentz force law the theory of electromagnetism will be complete.  Rather than just list these equations, a conceptual description will be offered.  (The formulas to the right are Maxwell's equations.  They are with respect to the list below.)Maxwell's Equations

Five laws describe the theory of electromagnetism.  The first four are Maxwell’s equations. 

1.      Gauss’s law states that an electric field is created by charged particles.

2.      Gauss’s law of magnetism states that there are no isolated magnetic poles.

3.       A changing magnetic field can create an electric field which is Faraday’s law.

4.      Ampere-Maxwell law states that electric currents create a magnetic field and changing electric field can create a magnetic field.

5.      Lorentz force law says an electric force is exerted on a charged particle in an electric field and a magnetic force is exerted on an electric charge moving in a magnetic field.5

Since we now have a conceptual understanding of electromagnetism we can look at a couple of interesting facts and applications.

Links:
Abstract
A Brief History     Electricity     Magnetism     Facts & Applications     Conclusions & Uncertainty     Bibliography