
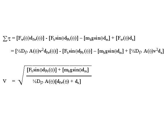
Here's a fairly reputable stability calculation from The Cruising multihull, which is usually applied to monohull boats that are much more massive then their passengers. It predicts a high angle of capsize which I don't feel is necessarily valid in this model.

Theta vs. Wind speed along with the value from the stability number

As in all physical models, this model has associated error. I have not perormed the error analysis, and have made some approximate assumptions. In practice I will use these results as a rough guide to the stability.
I find these calculations "seem" correct. In Kayakcraft, they give a stability plot of slightly shorter model and state that its maximum angle without capsize is around 58 degrees. I suspect my slightly longer boat could hold out at least as good. If this were the case, a wind speed of 41 mph would cause sure capsize.
Now surely no one would ever want to get caught at 58 degrees in 41 mph winds in a kayak, but at least there's a window as to what the limits are.
In all actuality, I don't think anything over 35 degrees in a kayak would be comfortable or dry. 27 mph winds would be required to heel to this angle.
These particular calculations have a fairly small sail and light keel. The specifications of the final design are yet to be decided.